北京时间2023年7月7日凌晨,国际学术期刊《自然·天文》(Nature Astronomy)在线发表了中国科学院国家天文台和东北大学合作研究的一项重大成果。这项理论研究提出,利用宇宙黎明时期21厘米森林信号的一维功率谱测量,未来的平方公里阵列射电望远镜(SKA)将能够同时揭秘宇宙第一代星系和暗物质的性质。中科院国家天文台徐怡冬副研究员、陈学雷研究员和东北大学张鑫教授为论文共同通讯作者。
宇宙中第一代星系是如何形成的?它们如何照亮黑暗时代并迎来宇宙黎明?宇宙早期的星系际介质是如何被第一代星系电离并加热的?这些问题一直是天文学领域致力于解答的重大科学难题。中性氢的21厘米谱线为宇宙黎明与第一代星系提供了独一无二的探测手段,利用21厘米谱线探测宇宙黎明与再电离也是平方公里阵列射电望远镜(SKA)最重要的科学目标之一。
中性氢的21厘米信号有多种观测模式。常见的观测模式是以宇宙微波背景辐射为背景源的21厘米信号测量。同时,宇宙早期各种结构及其周围的氢原子气体会在高红移射电点源的光谱上产生密集的21厘米吸收线,这些吸收线丛被形象地称为21厘米森林(图 1)。由于信号微弱,且依赖于宇宙黎明时期的射电亮源的获取,多年来21厘米森林探测面临极大挑战。另一方面,21厘米森林信号同时受到第一代星系加热效应和暗物质性质的影响,观测上很难区分这两种效应,使得21厘米森林探测在提出以来的二十多年中,难以实际用于限制第一代星系的热效应或暗物质的性质。
此项工作深入研究了过去鲜有论及的21厘米森林探针,并提出了一种原创性的统计测量方案,使之不仅能够限制宇宙第一代星系的性质,还可以同时测量暗物质粒子的质量。


图1. 21厘米森林信号示意图(左图)和模拟得到的不同加热率(fX)下的宇宙黎明21厘米森林信号。
近年来,已有一批高红移射电噪的类星体被发现,而且SKA望远镜也已进入工程建设阶段,开展21厘米森林观测已迫在眉睫。“我们意识到由温暗物质效应和加热效应引起的信号变化,在光谱上的尺度分布特征不同,因此通过一维功率谱分析,将可以从统计上提取关键特征以区分这两种效应。”徐怡冬介绍说,“而且,如果对同一段光谱的两次测量做互相关,将能够显著压低噪声,从而提高信噪比。这对21厘米森林这种弱信号的提取是非常关键的。”
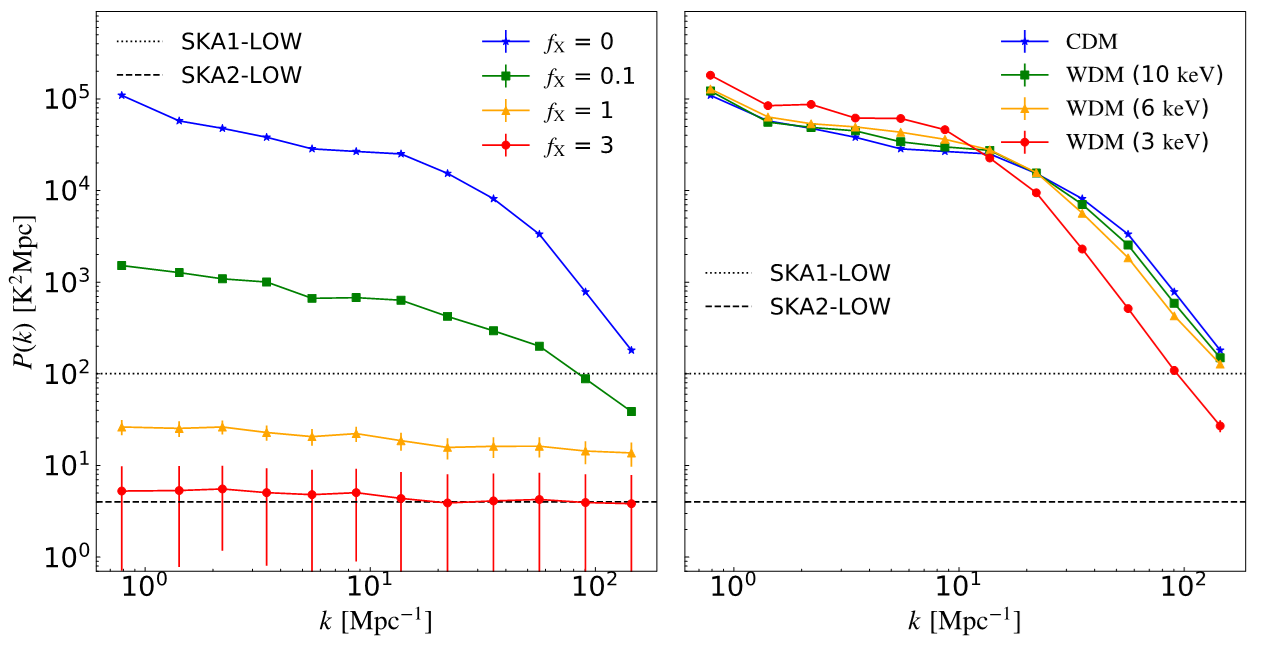
模拟结果显示,一维交叉功率谱测量显著提高了观测的灵敏度,同时,一维功率谱的幅度和形状特征使得信号的尺度依赖性被显现出来(图 2)。这使得21厘米森林变得切实可行,且能够同时测量暗物质粒子质量和宇宙黎明时期的热历史。因此,21厘米森林的一维功率谱确实可以成为一箭双雕的宇宙学探针,为揭开暗物质和第一代星系之谜提供了一种极有前景的新途径。


图2. 模拟得到的21厘米森林一维功率谱。左图为冷暗物质模型下,宇宙黎明不同加热率的21厘米森林功率谱信号;右图为未加热的星系际介质中,不同暗物质粒子质量下的21厘米森林功率谱。点线和虚线分别为一期和二期SKA低频阵列的热噪声水平,误差棒为SKA二期低频阵列的测量误差。功率谱的形状和幅度将能用于区分温暗物质和加热效应。
徐怡冬和张鑫应邀为《自然·天文》专门撰写了介绍性短文。国际著名专家、加拿大圆周理论物理研究所的Katherine Mack教授在《自然·天文》评论道:“这项研究提出了一种有趣的方法,利用21厘米森林功率谱同时限制两种现象:宇宙X射线对星系际介质的加热以及温暗物质的可能效应。虽然以前的研究已经检查了21厘米森林作为星系际介质探针的可能性,但将温暗物质效应作为一个独立信号包含进来则为未来的观测提供了一个新的科学目标。”
《自然·天文》的编辑团队也针对这项研究发表了评论:“我们宇宙的最远处总是极为神秘,由于被尘埃、吸收光的原子和中间介质中的气体阻挡而很难直接观测。这项研究将吸收转化为一种优势,利用它打破了其他方法所遭遇的不同效应的简并,并可用于阐明早期宇宙的结构形成。”
这一突破性方法的发展对于解开暗物质和宇宙早期天体形成的奥秘具有重要意义,将进一步推动我们对暗物质的理解,揭示宇宙结构形成及演化的过程。通过更深入的观测和分析,我们有望在不久的将来获得关于暗物质性质和早期星系形成的更多见解,进一步拓展我们对宇宙的认知。
该项研究由国家重点研发计划项目和国家自然科学基金项目资助。
论文链接:https://www.nature.com/articles/s41550-023-02024-7。

附件下载:
