北京时间2019年2月5日凌晨,国际科学期刊《自然·天文》(Nature Astronomy)在线发布我国天文学家的一项重大发现。由中国科学院国家天文台陈孝钿博士、邓李才研究员、刘超研究员等人联合澳大利亚麦考瑞大学理查德·迪何锐思教授及北京大学王舒博士组成的国际合作团队首次向人们展示出银河系恒星外盘惊人的翘曲结构。
星系盘并非我们想象的那样,是一个很平的圆盘子,而是处于一个不稳定的状态。在外盘处,巨大的星系盘会逐渐向上或向下卷起,整体形成一个接近炸薯片一样的弯曲状态,天文学家称这种形状为“翘曲”。大量观测表明,大约三分之一的河外盘星系都或多或少的展现出翘曲形状,银河系是否也是如此呢?很早就有射电观测发现银河系的气体盘呈现出和很多河外星系一样的翘曲结构,但是关于恒星盘的形状一直缺少直接的证据。
“测量银河系外盘的距离是十分困难的,而准确的距离才能让我们确信外盘的形状。”本文第一作者来自国家天文台的陈孝钿博士谈到。“造父变星是一类中等质量的年轻脉动变星,比太阳重3-20倍,亮约几万倍。由于它们的脉动周期和光度严格相关,因此可以精确测定距离,精度可达到3-5%。”陈孝钿等人去年发布的第一个红外全天变星星表包含了上千颗银河系造父变星,这批像珍珠般宝贵的恒星正是指示银河系年轻恒星盘的形状的绝佳示踪体。
“尘埃消光是测量银河系银盘恒星距离的最大障碍,红外多窗口研究可以大大缓解这一困难。”本文的合作者,来自北京大学的王舒博士解释道。
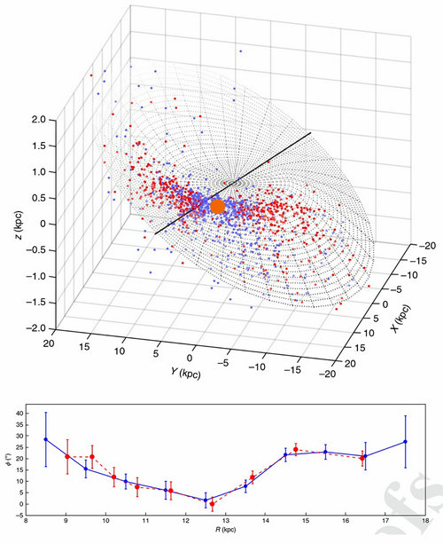
1339颗造父变星犹如明灯一样点亮了被烟雾笼罩的银河。从三维空间分布图中,他们发现距离银河系中心越远,这些造父变星就越偏离银盘面,整体呈“S”型;如果面向银心并让北银极朝上,那么左手边的银盘会朝上(北)卷起,右手边的则相反。不仅如此,他们还发现,从银心向外翘曲呈现复杂的进动现象。
“出乎我们意料,造父变星的恒星盘结构和银河系气体盘的结构非常一致。而更重要的是,这个翘曲的“S”形状还存在逐渐扭转的螺旋样式。” 本文的合作者来自澳大利亚麦考瑞大学的理查德·迪何锐思教授指出。
尽管翘曲现象在河外星系中经常出现,但是理论家们对它是如何形成的莫衷一是。一种可能的解释是外盘受到某种转矩作用而形成。“转矩假说可以解释复杂的翘曲进动现象,我们的观测结果倾向外盘的形成是由巨大的内盘转矩主导的。”本文的合作者国家天文台刘超研究员谈到。
“银河系恒星盘翘曲的发现首先更新了人们对银河系形状的认识,同时也对外盘起源提供了决定性的观测证据,为我们最终理解像银河系这样的巨大盘星系如何形成和演化提供关键线索。”本文的合作者国家天文台恒星与恒星系统团队首席科学家邓李才研究员兴奋地总结道。

银河系银盘示意图

上图:造父变星揭示的银河系银盘三维图,太阳并不在翘曲交点线上。下图:翘曲交点线角随银心距存在进动。
附件下载:
