国家天文台岳斌、徐怡冬、陈学雷等研究人员与意大利比萨高等师范学校(SNS) Andrea Ferrara教授,以及意大利国家天体物理研究所(INAF/IASF-MI)的Ruben Salvaterra博士在近日的一项合作研究中提出:宇宙近红外背景辐射(NIRB)的超出可能来源于宇宙中的第一代黑洞。这类黑洞通过直接坍缩的机制形成,是约为100万倍太阳质量的中等质量黑洞。该工作的论文已在《MNRAS》上发表(“Infrared background signatures of the first black holes” Yue Bin; Ferrara Andrea; Salvaterra Ruben; Xu Yidong; Chen Xuelei,Monthly Notices of the Royal Astronomical Society,2013MNRAS.tmp.1501Y),并得到了《Science》的主编推荐(Editor’s choice)。比萨高师和INAF的网页上都对此进行了报道。
在红移约10至30之间的时候,中等质量的黑洞可以通过一种被称为“直接坍缩”的机制在未形成恒星的暗物质晕中产生。该工作指出,直接坍缩过程形成的黑洞,其电离辐射(少量高能X射线光子除外)被周围的物质大量吸收,但这些被吸收的能量最终将以较低能量的光子形式逃逸,经红移到今天成为近红外背景辐射的一部分。
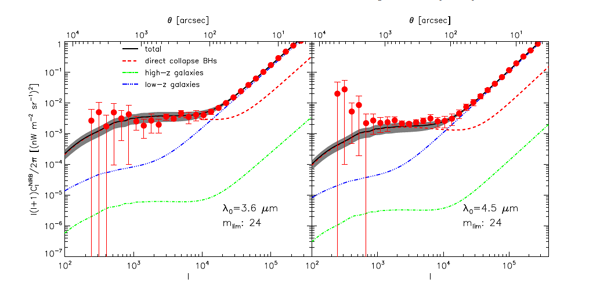
近年来观测到的近红外背景的涨落功率谱与理论预言相比有明显的超出,如何解释这一超出一直困扰着天文学家。此前人们曾认为这些超出来自第一代恒星,但模型计算表明,第一代恒星和高红移星系的贡献比观测值低一到二个数量级。第一代黑洞模型可以给出与观测相符的近红外背景涨落功率谱,同时该工作还自然地预言近红外背景辐射应该与宇宙X 射线背景辐射相关。最近Cappelluti等人确实观测到了近红外辐射与X-射线背景之间相关,证实了这一理论预言。

理论计算的第一代黑洞对红外背景辐射的角功率谱的贡献及实测值,左图为在波长3.6微米上的角功率谱,右图为4.5微米波长处的角功率谱。
附件下载:






